CP-Homework2
[!ABSTRACT]
Modern Compiler Implementation in C.pdf P85
3220104929 250306
3.6

(a)
| nullable | FIRST | FOLLOW | |
|---|---|---|---|
| S | no | u | |
| B | no | w | z, v, x, y |
| D | yes | x, y, \(\epsilon\) | z |
| E | yes | y, \(\epsilon\) | z, x |
| F | yes | x, \(\epsilon\) | z |
(b)
| u | v | w | x | y | z | |
|---|---|---|---|---|---|---|
| S | uBDz | |||||
| B | Bv, w | |||||
| D | EF | EF | ||||
| E | \(\epsilon\) | y | \(\epsilon\) | |||
| F | x | \(\epsilon\) |
(c)
T[B,w] 项有两个 production,所以这个文法不是 LL(1) 的
(d)
为了使其转化为最小的 LL(1)文法,需要消除左递归
将 \(B\rightarrow Bv|w\) 转化为 \(B\rightarrow wT,T\rightarrow vT|\epsilon\),其它不变即可
3.9


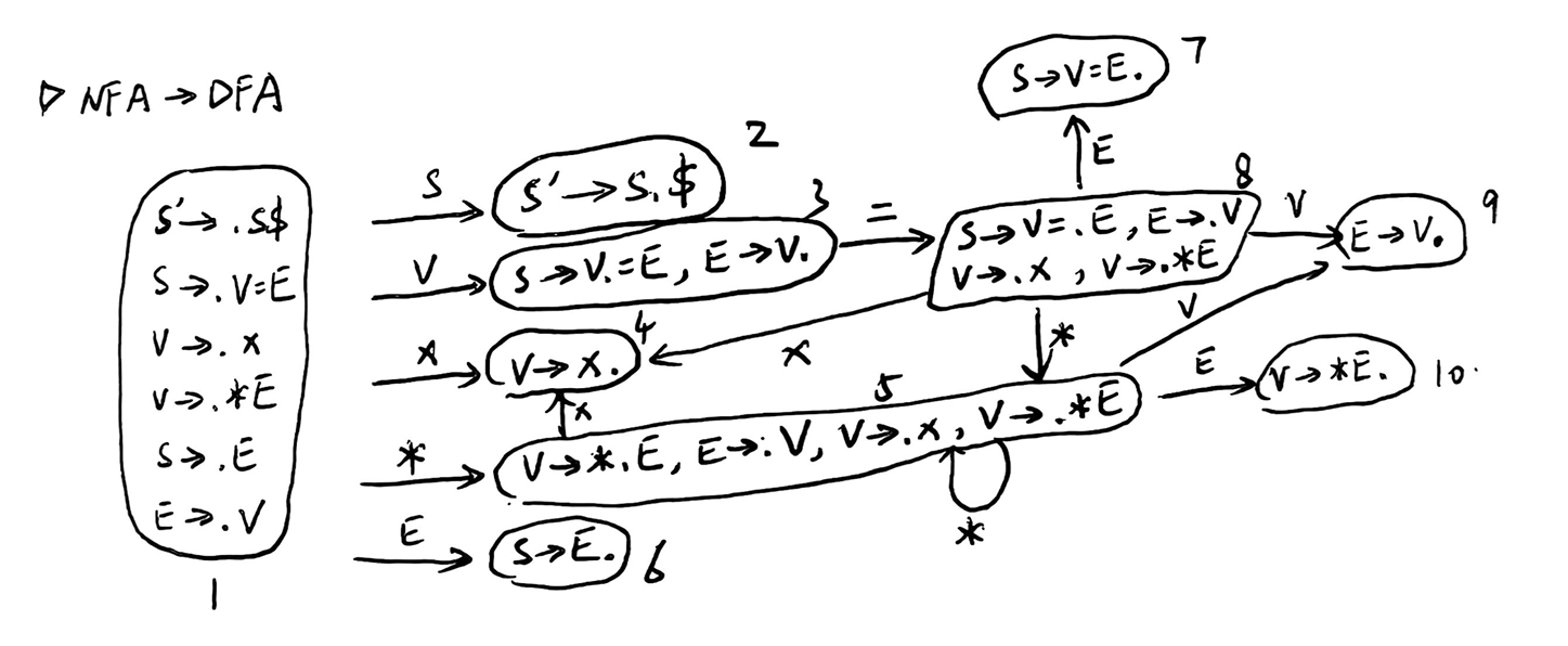
我们可以得到 LR(0) Item 的 NFA:

将其转化为 DFA:

再获取各个非终结符的 follow 集合:
- \(Follow(S) = \{\$\}\)
- \(Follow(V) = \{=,\$\}\)
- \(Follow(E) = \{=,\$\}\)
据此可以构造出一个 SLR(1) Parsing Table:
| S | $ | E | V | x | * | = | |
|---|---|---|---|---|---|---|---|
| 1 | g2 | g6 | g3 | s4 | s5 | ||
| 2 | accept | ||||||
| 3 | r3 | s8, r3 | |||||
| 4 | r4 | r4 | |||||
| 5 | g10 | g9 | s4 | s5 | |||
| 6 | r6 | ||||||
| 7 | r7 | ||||||
| 8 | g7 | g9 | s4 | s5 | |||
| 9 | r9 | r9 | |||||
| 10 | r10 | r10 |
出现冲突的项是 T[3,=]
3.13

我们可以得到 LR(1) Item 的 NFA:

将其转化为 DFA:

据此可以构造出一个 LALR(1) Parsing Table:
| X | M | $ | a | b | c | d | |
|---|---|---|---|---|---|---|---|
| 1 | g2 | g3 | s7 | s5 | |||
| 2 | accept | ||||||
| 3 | s4 | ||||||
| 4 | r1 | ||||||
| 5 | r5 | s6 | |||||
| 6 | r3 | ||||||
| 7 | g8 | s10 | |||||
| 8 | s9 | ||||||
| 9 | r2 | ||||||
| 10 | s11 | r5 | |||||
| 11 | r4 |
可以看到不存在冲突项,所以该语法是 LALR(1)文法
我们可以得到 LR(0) Item 的 NFA:

将其转化为 DFA:

获取非终结符的 follow 集合:
- \(Follow(X) = \{\$\}\)
- \(Follow(M) = \{a,c\}\)
据此可以构造出一个 SLR(1) Parsing Table:
| X | M | $ | a | b | c | d | |
|---|---|---|---|---|---|---|---|
| 1 | g2 | g3 | s5 | s10 | |||
| 2 | accept | ||||||
| 3 | s4 | ||||||
| 4 | r1 | ||||||
| 5 | g6 | s7 | |||||
| 6 | s8 | ||||||
| 7 | r5, s9 | r5 | |||||
| 8 | r2 | ||||||
| 9 | r4 | ||||||
| 10 | r5 | s11, r5 | |||||
| 11 | r3 |
可以看到存在冲突项 T[7,a], T[10,c],所以该文法不是 SLR(1) 文法
3.14

| nullable | FIRST | FOLLOW | |
|---|---|---|---|
| S | no | (, ], ) | |
| X | no | ), ] | |
| E | yes | \(\epsilon\) | ], ) |
| F | yes | \(\epsilon\) | ], ) |
| A | yes | \(\epsilon\) | ], ) |
据此可以构造出一个 LL(1) Parsing Table:
| ] | ( | ) | |
|---|---|---|---|
| S | E] | (X | F) |
| X | F] | E) | |
| E | A | A | |
| F | A | A | |
| A | \(\epsilon\) | \(\epsilon\) |
可以看到不存在冲突项,所以该语法是 LL(1)文法
对于该文法,我们增加一个起始符号 \(S^\prime\) 以及对应的产生式 \(S^\prime \rightarrow S\$\) ,我们可以得到 LR(1) Item 的 NFA:

将其转化为 DFA:

如上图所示,state 9 和 state 14 具有相同的核心,但合并后会出现 reduce-reduce conflict,所以该文法不是 LALR(1)文法