例题汇总
:material-circle-edit-outline: 约 84 个字







例题










fix factorial = factorial(fix factorial)

letrec fib(x: nat): nat =
if Eq? x 0 then 1
else if Eq? x 1 then 1
else fib(x-1) + fib(x-2)
in fib(4)









例题 1


例题 2


例题 3

例题 4

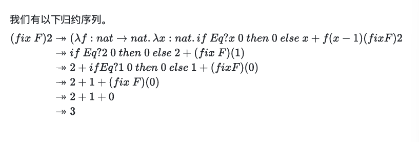
看 PPT 吧,12 PCF 的归约.pdf 13 页
PCF 是从左往右规约
例题 1



例题 2
