3.1 PDA 与 CFL
:material-circle-edit-outline: 约 485 个字 :material-clock-time-two-outline: 预计阅读时间 2 分钟
PPT 智云课堂 计算理论(本)2024-11-18 第 1-2 节
PDA 与 CFL

PDA 能接受的语言类就是 CFL

我们将从两个方向证明此事:根据 CFG 构造对应的 PDA
根据 CFG 构造 PDA
[!NOTE] Lemma:任何 CFL 都能有 PDA 将其接收(只要是 CFG 生成的语言一定能有 PDA 进行接收)
[!NOTE] 根据 CFG 构造 PDA
对于 CFG 生成的 CFL,我们就设计一个可以接收其 leftmost derivation 的 PDA
设计如下,注意这里 PDA 的 \(\Sigma\) 就是 CFG 的终结符集合
只需要两个状态,三个转移关系:
- 把起始符压入栈
- 把 stack top 进行规则替换
- stack top 是终结符时可以 pop
- 因为只有非终结符可以进行替换
[!EXAMPLE]
这里的 CFL 是带中心标志的回文
[!NOTE] 证明(没看)
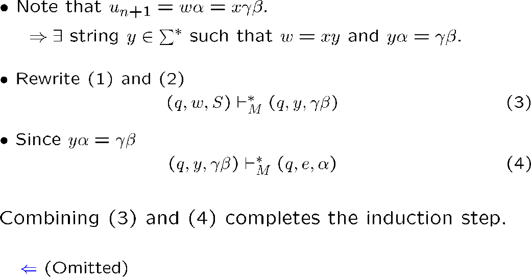
我们将证明,这个设计出来的 PDA 能接受的 CFL 就是这个 CFG 能生成的
我们给出以下断言,其可以证明我们想证明的东西
根据 PDA 构造 CFG
我们尝试根据 PDA 设计相应的上下文无关文法
[!NOTE] Lemma:能被 PDA 接受的语言都是 CFL
Define
[!NOTE] simple PDA
注意 \(\Gamma\) 是字母集合,所以这里是指 \(\beta\) 只能有一个字符,即 stack 读只能读一个字符
写 stack 的时候(即替换)最多只能写两个字符
Convert
就是把 “读很长的字符串” 这个动作分解为很多个 “读一个个字符” 动作
先看前后的 PDA 怎么定义的

我们看看怎么分解,先将读进行分解

再将写进行分解

特别的,输入 \(e\) 时,我们依旧要保证输入的是一个字符,所以我们从 stack 借一个字符,拿出来后再写进去

Building
没弄懂
最后我们根据上面得到的 simple PDA,构造一个对应的 CFG




第一处的小 s 少了个撇











