PCF 的声明和语法惯用形
编程语言原理(本)2024-11-20 第 7-8 节 10 PCF 的语法.pdf
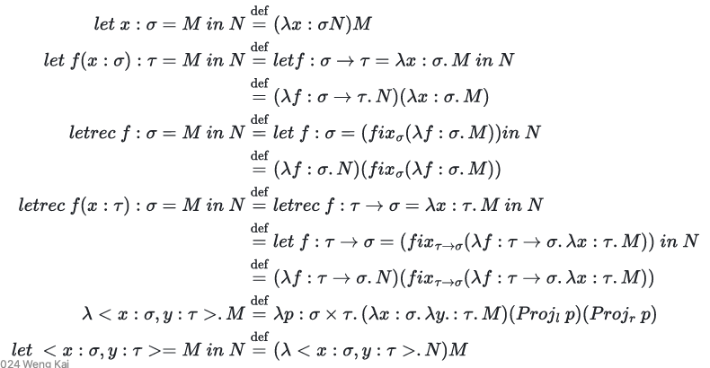
let

let 就是一个特殊的 lambda 表达式的名字,没有增加 PCF 计算能力

答案是 12

let 规约,把 N 里所有 x 替换为 N


变量查 找规则
静态作 ⽤ 域(Lexical Scoping)和动态作 ⽤ 域(Dynamic Scoping)是两种常 ⻅ 的变量查 找规则
静态作 ⽤ 域
结果为 3+5 = 8
第二行由于第一行,f 被定义为了 3+y
并因此第三行的操作被无效化了
静态作用域就是在函数定义时给自由变量赋值(编译时就锁死了)
查找变量时,系统从函数或表达式的定义位置开始,沿着代码的作 ⽤ 域链向外查找,直到找到匹配的变量。如果找不到,就会抛出 ⼀ 个错误。
动态作 ⽤ 域
结果为 4+5 = 9
第三行的操作是有效的
动态作用域就是在函数定义时不给自由变量赋值,根据执行时候自由变量的值来执行(实时更新)
查找变量时,系统根据执 ⾏ 时的调 ⽤ 栈进 ⾏ 查找。也就是说,程序执 ⾏ 时,当前函数的外部作 ⽤ 域(即它调 ⽤ 的函数所在的环境)会决定变量的值
函数计算的范式 normal form
范式:通常指 ⼀ 个表达式已经被完全求解,不能再继续简化或者求值
递归终 ⽌ 前的每 ⼀ 步都是 没有范式 的表达式
T 语 ⾔ 是全计算的,类型系统保证计算能够终 ⽌
PCF 语 ⾔ 是部分计算的基础,程序即使是良类型的,计算也 可能不终 ⽌

我们只需要知道,任意函数都能找到对应的不动点函数
所有这样的算 ⼦ 都有不动点,因此这样的等式系统是有解的,这个解由 ⼀ 般递归给出,但不能保证为 ⼀ 个全函数,使具有数学意义的 ⽅ 法就是写出其部分函数的 算法
递归定义
letrec ⽤ 来表示递归定义的变量或函数。与普通的 let 语句不同, letrec 允许在定 义过程中使 ⽤ 该变量(或函数)本身
递归的核 ⼼ 就是函数引 ⽤⾃⼰

不动点算子

不动点算 ⼦ 的作 ⽤ 是对 ⼀ 个函数 f 寻找 ⼀ 个值 x ,使得 f(x)= x
即 x 是该函数的“不动点”。


阶乘的 fix 归约

BNF 表达的 PCF 语法

语法扩展

例 ⼦

第三行是一个 ap,前面是一个函数,化简的第一步是,把后面那个 if 分别带入前面 if 的两个结果里


例题

letrec fib(x: nat): nat =
if Eq? x 0 then 1
else if Eq? x 1 then 1
else fib(x-1) + fib(x-2)
in fib(4)

这题有问题,跳过了


