Chapter3 Context-Free Language
我们之前学了正则语言和对应的 FA,但是还有很多语言不是正则的
Context-Free Language 是一个更强大的语言
什么是上下文有关

上面红框里的是可以生成这个正则语言的文法,这里的文法没有上下文约束
形如
aB->aBc的就是有上下文约束的,B展开的前提是前面有个a
CFG 定义
我们学的是上下文无关语法

\(L(G)\) 是能通过 \(G\) 生成的所有语言的集合
\(L\) 是一个 context-free language(CFL),当且仅当 \(\exist\) 一个 CFG \(G\),\(L=L(G)\)
[!EXAMPLE]
还有另一种证明方法
而且,所有正则语言都是 CFL
[!NOTE] 所有正则语言都是 CFL
我们将直接从正则语言构造出对应的 CFG 来证明这事
假设一个正则语言对应的 DFA 为 \(M=(K,\Sigma,\delta,s,F)\)
可见只需要把每条边进行一定的描述,就得到了对应的上下文无关文法,如何转化见下图
Parse Tree
[!EXAMPLE]
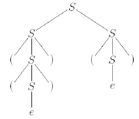
对于一个 CFG 文法为 \(S\rightarrow e,S\rightarrow SS,S\rightarrow e (S)\),得到 \(SS\Rightarrow(())()\) 有两种办法
用树状图画出来,可以发现这两其实该做的都做了,就是做的顺序不一样
对于一个 parse tree
- node: \(V\) 里的元素
- root: \(\Sigma\) 里的元素
- leave;\(S\) 里的元素
[!NOTE] parse tree formal defination
多个语法树共同连接于一个新 root,可以生成一个新的语法树
基于上面三种规则生成的都叫语法树
语法树是推导关系(derivation)的等价类
[!NOTE] 推导关系(derivation)的相似性
如何判断两个 derivation 是 similar 的
preceds
说白了就是两个 derivation 只有一步推导的结果不一样,而且是有迹可循的
leftmost即,推导过程中永远只对最左边的字符串应用规则
我们有以下结论,即只要有起始符 \(A\) 能生成字符串 \(\omega\) 的这么一个推导过程,那么就一定有对应的语法树,且一定能找到对应的 leftmost 或 rightmost 的推导过程

[!EXAMPLE]
下面的例子中,我们发现 similar 的 derivation 不一定构成 preceds 关系
可见一个字符串的生成可以对应很多语法树,这会造成歧义 ambiguity

[!EXAMPLE] ambiguity
Pushdown Automata
比 FA 能力更强的机器模型来了
这个机器基于 FA,但 FA 只能读
为了实现读与写,PDA 进一步增加了一个 stack

每次读的时候会用新的符号更新一次 stack

[!NOTE] PAD 的行为
PAD 可以进行读,读不仅会造成状态转移,而且会修改 stack top
读完后会移动 tape head
如果读取了空字符
e,就不移动 tape head确切说不是“读取了空字符”,而是空字符情况下我们就可以进行状态转移,可以修改 stack top,即我们读取 tape 前可以停留在此处额外做操作
由此可见 PDA 是非确定性的
REMARK
一步计算与多步计算:
configuration 就是指某一时刻的 PDA
[!NOTE] PDA acceptance condition
- 输入的字符串消耗掉
- stack 清空
- 到达结束状态
[!EXAMPLE]
[!EXAMPLE]
是不是很简单,有一个 stack 方便很多






























