Chapter 7: Deadlocks
[!ABSTRACT]
突然意识到 DBMS 是一个管理数据资源的操作系统
操作系统(本)2024-11-12 第 7-8 节 操作系统(本)2024-11-14 第 7-8 节
Deadlock:A set of blocked processes each holding a resource and waiting to acquire a resource held by another process in the set
Deadlock Characterization
产生死锁的四个必要条件:
- Mutual exclusion(互斥)
- 每个资源只能有一个进程使用
- Hold and wait(占有并等待、请求和保持)
- 拿了资源,但还需要更多资源,等待时不会释放已经拿了的资源
- No preemption(不可抢占、不剥夺)
- Circular wait(循环等待)
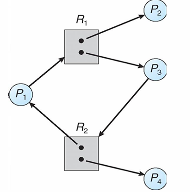
Resource-Allocation Graph 资源分配图
A set of vertices V and a set of edges E.
V is partitioned into two types
- P = {P1, P2, …, Pn}, all the processes,用圆圈表示
- R = {R1, R2, …, Rm}, all resource types,用方框表示
- 一个资源可能会有多个 instance,所以方框里面会有小方框
E is partitioned into two types
- request edge – Pi → R
- assignment edge – Rj → Pi
[!EXAMPLE] Resource Allocation Graph With A Deadlock
Resource Allocation Graph With A Cycle But No Deadlock
- 如果图里没有环路,则一定不会有死锁
- 如果图里有环路
- 如果环路里的 resource type 均只有一个 instance,则必死锁
- 否则不确定,只能说有可能死锁
S 为死锁状态的充分条件是:尚且仅当 S 状态的资源分配图是不可完全简化的
资源分配图的简化
-
先看系统还剩下多少资源没分配,再看有哪些进程是不阻塞的
- 不阻塞是指系统有足够的空闲资源分配给它
-
把不阻塞的进程的所有边都去掉,形成一个孤立的点,再把系统分配给这个进程的资源回收回来
- 看剩下的进程有哪些是不阻塞的,然后把它们逐个变成孤立的点。
- 最后,所有的资源和进程都变成孤立的点
- 这样的图就叫做可完全简化,如果一个图可完全简化,则不会产生死锁
- 如果图中还有边存在,则不可完全简化,会产生死锁
[!EXAMPLE] 没有死锁的化简例子
[!QUESTION] Review Questions
- What are the four necessary conditions for characterizing deadlock?
- 是否可能存在一种死锁现象,只涉及单个进程?
- 处理死锁有哪些策略?
answer
- Mutual exclusion, Hold and wait, No preemption, Circular wait
- 不可能
- 下面
Methods for Handling Deadlocks
死锁处理的策略:
- Prevention 死锁预防
- Avoidance 死锁避免
- Detection 死锁检测 + Recovery 死锁解除
Deadlock Prevention
就从四个必要条件分别下手咯
- 互斥是不能破坏的,共享资源必须互斥
- Hold and wait,这个的破坏之前讲过,线程随机超时后释放资源
- Low resource utilization; starvation possible
- No Preemption,需要 waite 话就先释放已经拿到的资源,空手 wait
- Circular Wait ,这个就得对进程执行、申请顺序进行排序了
Deadlock Avoidance
一个进程在申请资源时,检查这个申请是否会造成 circular-wait,会就不给申请
这个检查需要用到一个概念叫 Safe State 安全状态
Safe State 安全状态
每次分配资源时就先检查分配后系统是否处于 Safe State
安全状态是指,此状态系统能按某种顺序(如 P1、 P2……Pn)来为各个进程分配其所需资源,直至最大需求,使每个进程都可顺序完成
这个序列(P1、P2…….Pn)称为安全序列
[!NOTE] 安全序列
确切而言,
是安全的,如果:
- 对于任意 Pi,假设它全面的进程全部执行,Pi 所需要的资源仍然可以获取,或者不能获取,但是它前面的进程有使用
- 即,任意 Pi 都可以等它前面的进程执行完后得到所需资源
若系统某个状态下不存在安全序列,则称系统处于不安全状态
- 如果系统处于安全状态,不会发生死锁
- 如果处于非安全状态,则可能死锁
[!EXAMPLE]
[!EXAMPLE]








